«Омский Государственный Колледж Управления и Профессиональных Технологий»
Учебное пособие: «ПО КС и web-серверов»

Выполнил: Студент группы ТО-31
Панечкин А.Е.
Руководитель:
Шойко А.З.


Лекция 3. Классификация операционных систем. Свободное программное обеспечение (Open Sourse)

Современные операционные системы (далее – ОС) обладают мощными и гибкими средствами управления работой локальных компьютеров, распределенных компьютерных систем и вычислительных сетей глобального масштаба. ОС семейства Microsoft Windows XP на сегодняшний день по праву относятся к числу наиболее совершенных и стабильных программных продуктов, получивших широкое признание и распространение в сфере информационно-коммуникационных технологий.

ОС семейства Windows XP включают множество (в том числе и новых) инструментов и средств конфигурирования, настройки и администрирования операционной среды. Несмотря на явные тенденции автоматизации ряда административных функций в новых ОС, системные администраторы сталкиваются с необходимостью постоянного пополнения знаний как в связи с появлением нового инструментария, так и в связи с потребностью управления новыми функциональными возможностями современных компьютерных систем.

Решение задач администрирования ОС семейства Windows XP и является предметом рассмотрения первого семестра.

Классификация ОС

Решение любой задачи на компьютере требует наличия, с одной стороны, программ (программных средств — software), определяющих последовательность всех подлежащих выполнению операций, с другой стороны, определенных аппаратных средств (процессора, памяти, дисплея, принтера, клавиатуры и т. д. — hardware), привлекаемых для реализации этих операций. Многие процедуры управления аппаратными средствами компьютера являются более или менее стандартными и по существу не зависят от программных средств. Основной задачей операционной системы (ОС) и является автоматизация выполнения указанных стандартных, часто достаточно тривиальных процедур.

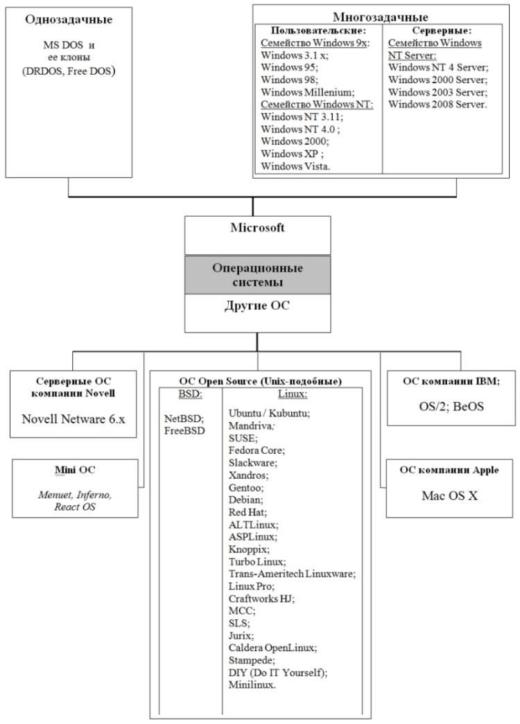
Пользователю представляется широкий спектр ОС, классификация которых представлена на рис.1

Рис.1 Классификация операционных систем

Конечно, приведенный список далеко не полон, но он сознательно ограничен операционными системами, используемыми наиболее часто. Рассмотрим этот список с точки зрения человека, которому необходимо иметь на компьютере операционную систему, удовлетворяющую нескольким, порой противоречивым, требованиям.

Операционные системы можно классифицировать по многим параметрам:

  1. все они делятся на два вида — платные и бесплатные (условно-бесплатные);
  2. на операционные системы с открытым исходным кодом (с правом вносить изменения или без права внесения изменений) и с закрытым исходным кодом;
  3. операционные системы бывают одноплатформенные (способные функционировать только на одной платформе, например PC-совместимой) и многоплатформенные (способные функционировать на нескольких платформах, например PC-совместимой, Macintosh, Sun, PowerPC);
  4. операционные системы могут быть однозадачными и многозадачными;
  5. однопользовательскими и многопользовательскими;
  6. серверными, клиентскими или универсальными;
  7. иметь текстовый, графический или тот и другой интерфейсы;
  8. различаться по потребляемым ресурсам и т. д.

А ведь это только начало. Критериев, по которым выбирается операционная система, намного больше. А ведь выбор операционной системы определяет жизнь и работу ПК ближайшие несколько Лет (или десятилетий). Поэтому к выбору операционной системы следует относиться с большой тщательностью и достаточной долей скептицизма. Сжато охарактеризуем наиболее популярные операционные системы.

MS DOS. Производитель — Microsoft. Была создана на заре эры PC. 16-разрядная однопользовательская, однозадачная система. Платная, закрытый исходный код. Одноплатформенная (PC-совместимая). Текстовый интерфейс (командная строка). Достаточно простой процесс установки. Файловая система — FAT 12, FAT 16, FAT 32. Поддержка локальной сети — драйверы и программы сторонних производителей. Интернет — аналогично. Морально устарела еще до рождения. Разрабатывалась поспешно, без учета развития аппаратных и программных средств. При появлении нового аппаратного обеспечения срочно дорабатывалась, более или менее устойчивая система появилась только к 1990-му году (по прошествии 10 лет!). Последняя самостоятельная версия (как отдельного продукта) — MS-DOS 6.22. Последние версии включали в основном косметические изменения. Но (благодаря дружбе IBM и Microsoft) — получила широчайшее распространение.

Общая характеристика ОС Windows XP

Windows XP (кодовое название при разработке — Whistler; внутренняя версия — Windows NT 5.1) — операционная система семейства Windows NT от компании Microsoft. Она была выпущена 25 октября 2001 года и является развитием Windows 2000 Professional. Название XP происходит от англ. experience (опыт, впечатление).

В отличие от предыдущей системы Windows 2000, которая поставлялась как в серверном, так и в клиентском вариантах, Windows XP является исключительно клиентской системой. Её серверным вариантом является выпущенная позже система Windows Server 2003. Windows XP и Windows Server 2003 построены на основе одного и того же ядра операционной системы, в результате их развитие и обновление идет более или менее параллельно.

Windows XP выпускается во многих вариантах:

  • Windows XP Professional Edition была разработана для предприятий и предпринимателей и содержит такие функции, как удалённый доступ к рабочему столу компьютера, шифрование файлов (при помощи Encrypting File System), центральное управление правами доступа и поддержка многопроцессорных систем.
  • Windows XP Home Edition — система для домашнего применения. Выпускается как недорогая «урезанная» версия Professional Editon, но базируется на том же ядре и при помощи некоторых приёмов позволяет провести обновление до почти полноценной версии Professional Edition.
  • Windows XP Tablet PC Edition базируется на Professional Edition и содержит специальные приложения, оптимизированные для ввода данных стилусом на планшетных персональных компьютерах. Важнейшим свойством является превосходное понимание текстов, написанных от руки и адаптация графического интерфейса к поворотам дисплея. Эта версия продаётся только вместе с соответствующим компьютером.
  • Windows XP Media Center Edition базируется на Professional Edition и содержит специальные мультимедийные приложения. Компьютер, как правило, оснащён ТВ-картой и пультом дистанционного управления (ПДУ). Важнейшим свойством является возможность подключения к телевизору и управление компьютером через ПДУ благодаря упрощённой системе управления Windows. Эта система содержит также функции для приёма УКВ-радио.
  • Windows XP Embedded базируется на Professional Edition и предназначена для управления встроенной системой различных устройств: банкоматов, медицинских приборов, кассовых терминалов, игровых автоматов, VoIP-компонентов и т. п.
  • Windows XP Professional x64 Edition — специальная 64-разрядная версия, разработанная для процессоров с технологией AMD64 Opteron и Athlon 64 от фирмы AMD и процессоров с технологией EM64T от фирмы Intel. Эта система не поддерживает процессоры других производителей, а также не работает с процессором Intel Itanium. Хотя первые 64-разрядные процессоры появились в 2003 году, Windows XP Professional x64 Edition вышла в свет только в апреле 2005 года. Основным достоинством системы является быстрая работа с большими числами (Long Integer и Double Float). Таким образом, эта система очень эффективна, например, при выполнении вычислений, использующих числа с плавающей запятой, необходимых в таких областях, как создание спецэффектов для кинофильмов и трёхмерной анимации, а также разработка технических и научных приложений. Данная система поддерживает смешанный режим, то есть одновременную работу 32- и 64-разрядных приложений, однако для этого все драйверы должны быть в 64-разрядном исполнении. Это означает, что большинство 32-разрядных приложений могут работать и в этой системе. Исключение составляют лишь те приложения, которые сильно зависят от аппаратного обеспечения компьютера, например, антивирусы и дефрагментаторы.
  • Windows XP 64-bit Edition — это издание разрабатывалось специально для рабочих станций с архитектурой IA-64 и микропроцессорами Itanium. Это издание Windows XP более не развивается с 2005 года, после того, как HP прекратил разработку рабочих станций с микропроцессорами Itanium. Поддержка этой архитектуры осталась в серверных версиях операционной системы Windows.
  • Windows XP Home Edition N и Windows XP Professional Edition N — системы без Windows Media Player и других мультимедиа-приложений. Эти версии созданы под давлением Европейской Антимонопольной Комиссии. При желании пользователь может бесплатно загрузить все недостающие приложения с веб-сайта Microsoft.
  • Windows XP Starter Edition — сильно функционально ограниченная версия для развивающихся стран и финансово слабых регионов. В этой версии возможна одновременная работа только 3 приложений, и каждое приложение может создать не более 3 окон. В системе полностью отсутствуют сетевые функции, не поддерживается высокая разрешающая способность, а также не допускается использование более 256 мегабайт оперативной памяти или жёсткого диска объёмом более 80 гигабайт. Система может работать на процессорах уровня Intel Celeron или AMD Duron.

Новшества по сравнению с Windows 2000

Некоторыми из наиболее заметных улучшений в Windows XP по сравнению с Windows 2000 являются:

  • Новое оформление графического интерфейса, включая более округлые формы и плавные цвета; а также дополнительные функциональные улучшения (такие, как возможность представления папки в виде слайд-шоу в проводнике Windows).
  • Возможность быстрого переключения пользователей, позволяющая временно прервать работу одного пользователя и выполнить вход в систему под именем другого пользователя, оставляя при этом приложения, запущенные первым пользователем, включёнными.
  • Функция «удалённый помощник», позволяющая опытным пользователям и техническому персоналу подключаться к компьютеру с системой Windows XP по сети для разрешения проблем. При этом помогающий пользователь может видеть содержимое экрана, вести беседу и (с позволения удалённого пользователя) брать управление в свои руки.
  • Программа восстановления системы, предназначенная для возвращения системы в определённое предшествующее состояние (эта функция является развитием аналогичной программы, включённой в Windows Me), а также улучшение других способов востановления системы. Так, при загрузке последней удачной конфигурации загружается также и прежний набор драйверов, что позволяет в ряде случаев легко восстановить систему при проблемах, возникших в результате установки драйверов; возможность отката драйверов и т. д.
  • Улучшенная совместимость со старыми программами и играми. Специальный мастер совместимости позволяет эмулировать для отдельной программы поведение одной из предыдущих версий ОС (начиная с Windows 95).
  • Возможность удалённого доступа к рабочей станции благодаря включению в систему миниатюрного сервера терминалов (только в издании Professional).
  • Более развитые функции управления системой из командной строки.
  • Поддержка проводником Windows цифровых фотоформатов (например, представление папки в виде слайд-шоу) и аудиофайлов (автоматическое отображение метаданных для аудиофайлов, например, тегов ID3 для MP3-файлов).
  • Windows XP включает технологии, разработанные фирмой Roxio, которые позволяют производить прямую запись CD из проводника, не устанавливая дополнительное ПО, а работа с перезаписываемыми компакт-дисками становится подобной работе с дискетами или жёсткими дисками. Также в Media Player включена возможность производить запись аудио-дисков. Возможности работы с образами дисков не предусмотрена.
  • Windows XP может работать с архивами ZIP без установки дополнительного ПО. Работа с архивами данного типа возможна в проводнике как с обычными папками, которые можно создавать и удалять, заходить в архив, добавлять/удалять файлы подобно работе с обычными папками. Также возможна установка пароля на архив. При необходимости можно назначить для работы с этими архивами любое стороннее программное обеспечение.
  • Улучшения в подсистеме EFS, заключающиеся в необязательности агента восстановления, более безопасного сохранения ключей. Шифруемые файлы теперь не просто удаляются, а перезаписываются нулями, что гораздо надёжнее. Начиная с SP1 становится возможным использовать (он и используется по умолчанию) алгоритм AES, наряду с DESX и 3-DES.

Графическая подсистема

Windows XP анализирует производительность системы с определёнными визуальными эффектами и в зависимости от этого активирует их или нет, учитывая возможное падение или рост производительности. Пользователи также могут изменять данные параметры, используя диалоговые окна настройки, при этом можно либо гибко выбрать активность тех или иных визуальных эффектов, либо отдать это на управление системе или же выбрать максимальную производительность или лучший вид графического интерфейса. Некоторые эффекты, такие как альфа-смешение и т. п., требуют наличия производительной графической подсистемы, на старых видеокартах производительность может сильно упасть и Microsoft рекомендует отключить эти возможности в таком случае. В Windows XP появилась возможность использовать «Visual Styles» позволяющие изменить графический интерфейс пользователя. Luna — новый стиль графического интерфейса, входящий в поставку XP и являющийся интерфейсом по умолчанию для ПК, имеющих более 64 мегабайт RAM. Возможно использовать и другие «Visual Styles», но они должны быть подписаны цифровой подписью Microsoft (так как имеют важное значения в функционировании системы). Для обхода этого ограничения некоторые пользователи используют специальное программное обеспечение, такое, как TGTSoft’s StyleXP или Stardock's WindowBlinds, а иногда и измененную версию библиотеки uxtheme.dll.

Также существует стиль «классический», повторяющий стиль интерфейса Windows 2000 (который использует на 4 МБ меньше памяти, чем Luna), а также многочисленные стили, созданные сторонними разработчиками. Для версии Media Center Microsoft разработала «визуальный стиль» «Royale», который включён в эту версию Windows XP и доступен для установки в других версиях XP.

Для Windows XP были созданы более 100 «иконок» компанией The Iconfactory, известной своим набором бесплатных «иконок» для операционной системы Mac OS X

Открытое программное обеспечение


Логотип Open Source Initiative (OSI)

Открытое программное обеспечение, то есть программное обеспечение с «открытым» исходным кодом (англ. open source software) — способ разработки ПО, при котором исходный код создаваемых программ открыт, то есть общедоступен для просмотра и изменения. Это позволяет всем желающим использовать уже созданный код для своих нужд и, возможно, помочь в разработке открытой программы.

Бесплатность ПО есть право пользователя, но не обязанность производителя — «открытая» лицензия не требует, чтобы ПО всегда предоставлялось бесплатно. Многие из наиболее успешных проектов «открытого» ПО, тем не менее, бесплатны.

Термин «Открытое программное обеспечение» «англ. open source» был создан вместе с определением в 1998 году Эриком Реймондом и Брюсом Перенсом, которые утверждали, что термин «Свободное программное обеспечение» (англ. free software) неоднозначен и отпугивает коммерческих предпринимателей.

Классификация ОС

Подавляющее большинство открытых программ является одновременно «свободными» и наоборот, ибо определения открытого и свободного ПО близки, а большинство лицензий соответствуют обоим.

Отличие между движениями открытого ПО и свободного ПО заключается в основном в приоритетах. Сторонники открытого ПО делают упор на эффективность открытых исходников как метода разработки. Сторонники свободного ПО исходят из идеологических соображений, и считают, что именно права на распространение, модификацию и изучение программ являются главным достоинством свободного ПО.

В настоящее время открытое программное обеспечение не получило широкого распространения в Pоссии, что часто связывают с широким распространением нелегального собственнического программного обеспечения.

Open Source является торговой маркой организации Open Source Initiative. Существует специальный комитет, решающий, может ли лицензия носить имя Open Source. Определение, которым он при этом руководствуется, приведено в [1].

Вынесенное OSI определение признается за руководство многими другими организациями, например порталом SourceForge.net.

OSI накладывает на публичную лицензию десять требований, которые изначально были основаны на Debian Free Software Guidelines.

Основная статья: Лицензии открытого ПО  

Исходные коды открытых программ выпускаются либо как общественное достояние, либо на условиях «свободных» лицензий — как, например, GNU General Public License или BSD License. Свободная лицензия позволяет использовать исходный код программы для своих нужд с минимальными ограничениями, не противоречащими определению OpenSource.org. Таким ограничением может быть требование ссылаться на предыдущих создателей или требование сохранять свойство открытости при дальнейшем распространении той же самой или модифицированной открытой программы (Копилефт). В некоторых случаях (напр., Apache или FreeBSD) эти ограничения очень малы, в других (напр., GNU General Public License) достаточно распространять ПО вместе с исходным кодом и текстом лицензии, не изменяя её.

Согласно Столлману, «„Свобода ПО“ означает право пользователя свободно запускать, копировать, распространять, изучать, изменять и улучшать его». Его современная версия определения свободы ПО состоит из четырех пунктов, пронумерованных от 0 до 3:

  • Свобода запускать программу в любых целях (свобода 0).
  • Свобода изучения работы программы и адаптация ее к вашим нуждам (свобода 1). Доступ к исходным текстам является необходимым условием.
  • Свобода распространять копии, так что вы можете помочь вашему товарищу (свобода 2).
  • Свобода улучшать программу и публиковать ваши улучшения, так что все общество выиграет от этого (свобода 3). Доступ к исходным текстам является необходимым условием.

Следует заметить, что не все организации согласны с определением Столлмана. Например, дистрибутив Debian использует свои собственные критерии для определения свободы ПО, которые несколько отличаются от четырех пунктов Столлмана. В результате, Debian считает лицензию 1-ю версию Artistic License свободной, а GNU Free Documentation License с неизменяемыми разделами несвободной; Столлман и Фонд свободного ПО считают наоборот.

GNU (/gnu/ (info), рекурсивный акроним от англ. GNU’s Not UNIX — «GNU — не Unix!») — это свободная UNIX-подобная операционная система, разрабатываемая Проектом GNU.

Разработка системы GNU началась 27 сентября 1983 года, когда Ричард Столлман опубликовал объявление о проекте в группах новостей net.unix-wizards и net.usoft. 5 января 1984 года Столлман уволился из Массачуссетского технологического института с целью посвятить своё время написанию свободной операционной системы, а также для того, чтобы институт не мог претендовать на какие-либо права на исходный код системы. Первой программой GNU стал текстовый редактор Emacs.

В настоящее время система GNU/Linux, более широко известная как просто Linux, достаточно распространена (особенно на рынке серверов) и является вполне завершённой. Она состоит из большого количества программ проекта GNU (в первую очередь системных утилит и GNU toolchain), ядра Linux — части системы, отвечающей за выполнение других программ, включающей драйверы устройств и т. п., — и множества других свободных программ.

Официальным же ядром операционной системы GNU является GNU Hurd. Альтернативное название системы на основе этого ядра — GNU/Hurd, по аналогии с GNU/Linux. Однако, несмотря на то, что Hurd разрабатывается с 1990 года, этот проект всё ещё не завершён (хотя Hurd на основе микроядра GNU Mach уже может нормально функционировать и выполнять многие приложения). По этой причине операционную систему GNU как таковую ещё нельзя считать полностью завершённой и готовой к производственному использованию.



Логотип GPL v.3

GNU General Public License (иногда переводят, как, например, Универсальная общественная лицензия GNU, Универсальная общедоступная лицензия GNU или Открытое лицензионное соглашение GNU) — лицензия на свободное программное обеспечение, созданная в рамках проекта GNU в 1988 г. Её также сокращённо называют GNU GPL или даже просто GPL, если из контекста понятно, что речь идёт именно о данной лицензии (существует довольно много других лицензий, содержащих слова «general public license» в названии). Вторая версия этой лицензии была выпущена в 1991 году, третья версия, после многолетней работы и длительной дискуссии — в 2007 году.

Определение

GNU Lesser General Public License (LGPL) — это ослабленная версия GPL, предназначенная для некоторых библиотек ПО.

GNU Affero General Public Licenseэто усиленная версия GPL для программ, предназначенных для доступа к ним через сеть.


Цель GNU GPL — предоставить пользователю права копировать, модифицировать и распространять (в том числе на коммерческой основе) программы (что по умолчанию запрещено законом об авторских правах), а также гарантировать, что и пользователи всех производных программ получат вышеперечисленные права. Принцип «наследования» прав называется «копилефт» (транслитерация английского «copyleft») и был придуман Ричардом Столлмэном. По контрасту с GPL, лицензии собственнического ПО очень редко дают пользователю такие права и обычно, наоборот, стремятся их ограничить, например, запрещая восстановление исходного кода.



Логотип LGPL v.3

Свобода

GPL предоставляет получателям компьютерных программ следующие права, или «свободы»:

  • свободу запуска программы, с любой целью;
  • свободу изучения того, как программа работает, и её модификации (предварительным условием для этого является доступ к исходному коду);
  • свободу распространения копий;
  • свободу улучшения программы, и выпуска улучшений в публичный доступ (предварительным условием для этого является доступ к исходному коду).

GPL была написана Ричардом Столлмэном для использования с программами как часть проекта GNU. Она базируется на сходных лицензиях, использовавшихся для ранних версий GNU Emacs, GDB (отладчика GNU) и Коллекции компиляторов GNU (GCC), унифицирует и обобщает их.

Лицензии-прототипы содержали части, подобные частям GPL, но были специфичными для каждой программы. Целью Столлмэна являлось создание единой лицензии, которая могла бы использоваться для любого проекта, делая таким образом возможным совместное использование кода различными программами. Такой лицензией и стала первая версия GNU GPL, выпущенная в январе 1989 года.

В 1990 году стало очевидным, что требуется менее ограничивающая лицензия, которая могла бы использоваться для некоторых библиотек ПО; когда версия 2 GPL была выпущена в июне 1991 года, вместе с ней была введена в обращение GNU Library General Public License, также получившая номер 2, для обозначения того, что эти две лицензии являются взаимодополняющими. Номера версий разошлись в 1999 году, когда была выпущена LGPL версии 2.1, которая была переименована в Lesser General Public License для уточнения её местоположения в философии GNU.

В 2005 году Эбен Моглен и Ричард Столлмэн написали черновик GPL версии 3. В разгоревшейся затем 7 апреля 2005 года дискуссии в Филадельфии, Столлмэн сделал несколько заявлений, касающихся патентов на ПО и DRM.

В 2006 году Free Software Foundation начал двенадцатимесячную консультацию о возможных изменениях в GPL. Этот процесс координируется Фондом свободного программного обеспечения, Правовым центром свободы программного обеспечения и Европейским Фондом свободного программного обеспечения. Целью консультаций является создание новой версии лицензии с учётом рекомендаций и опыта всех заинтересованных сторон, но с сохранением приверженности принципам свободного ПО.

Первый черновик был опубликован 16 января 2006 года.

Тем не менее, 25 января 2006 года Линус Торвальдс публично заявил, что ядро Linux, используемое в операционной системе GNU/Linux, скорее всего, будет по-прежнему распространяться по лицензии GPL версии 2. (В отличие от многих других GPL-программ, Linux распространяется на условиях только второй версии GPL, а не «версии 2 или более поздней»).

В своём сообщении в почтовую рассылку для Linux-разработчиков Линус Торвальдс, автор Linux, говорит о том, что ОС Solaris может инициировать переход ядра на новую готовящуюся версию лицензии на свободное программное обеспечение — GNU GPLv3.


«Если Sun действительно собирается выпустить OpenSolaris под GPLv3, это может стать хорошей причиной» для перехода Linux на новую лицензию, заявил Торвальдс.

«Не думаю, что GPLv3 — такая же хорошая лицензия, как и GPLv2, но с другой стороны, я прагматик, и, если мы можем избежать ситуации с существованием двух ядер, распространяющихся под разными лицензиями, и с вызванными этим разногласиями, я по крайней мере вижу причину для перехода на GPLv3», — пояснил свою позицию главный разработчик Linux-ядра.

До этого Торвальдс уже выражал своё недовольство новой версией лицензии GNU GPL, однако после появления последнего чернового варианта GPLv3 стал лучше относиться к этому проекту. Несмотря на это, сам он до сих пор отдаёт предпочтение GPLv2.

Компании, распространяющие GPLv3-ПО, не могут предъявлять судебные претензии к пользователям GPLv3-продуктов.

Окончательная версия GPLv3 была опубликована 29 июня 2007. Черновой вариант перевода можно прочитать тут.

19 ноября была выпущена GNU Affero General Public License v3GPLv3 с изменениями на основе Affero General Public License v1, выпущенной в 2002 году Affero Inc. на основе GNU GPLv2. Данная лицензия добавляет возможность получения исходного кода пользователям программы, взаимодействующим с ней только через сеть.

Linux или GNU/Linux (произносится «гну слэш линукс») — общее название UNIX-подобных операционных систем на основе свободного ядра Linux и собранных для него библиотек и системных программ, разработанных в рамках проекта GNU. Зачастую такие операционные системы называют просто «Linux», так как первой, наиболее популярной и единственной тогда системной библиотекой, использовавшейся в системах на базе Linux, была GNU C Library (glibc).

GNU/Linux работает на PC-совместимых системах семейства Intel x86, а также на IA-64, AMD64, PowerPC, ARM и многих других.

К операционной системе GNU/Linux также часто относят программы, дополняющие эту операционную систему, и прикладные программы, делающие её полноценной многофункциональной операционной средой.

В отличие от большинства других операционных систем, GNU/Linux не имеет единой «официальной» комплектации. Вместо этого GNU/Linux поставляется в большом количестве так называемых дистрибутивов, в которых программы GNU соединяются с ядром Linux и другими программами. Наиболее известными дистрибутивами GNU/Linux являются Slackware, Red Hat, Fedora, Mandriva, SuSE, Debian, Gentoo, Ubuntu. Из дистрибутивов российских разработчиков наиболее известны ALT Linux и ASPLinux.

Основная статья: Спор об именовании GNU/Linux  

Операционные системы на основе GNU и Linux называют «Linux» или «GNU/Linux». Первый вариант гораздо более популярен, и чаще используется сторонниками термина «open source», второй — сторонниками «free software».

Хотя в английском второй вариант пишется и звучит, как «GNU/Linux» («гну слэш ли?нукс»), это не всегда удобно в других языках. Поэтому, если можно показать равноправность GNU и Linux лучшим способом — например, GNU+Linux (гну плюс линукс), GNU-Linux (во французском), или GNU con Linux (в испанском), лучше использовать его, чем «GNU Linux» («гну линукс»), подразумевающее, что ядро «Linux» было разработано или принадлежит проекту GNU. Аналогичным образом построены названия «TCP/IP» и «Ogg/Vorbis».

В отличие от Microsoft Windows (Windows NT), Mac OS (Mac OS X) и коммерческих UNIX-подобных систем, GNU/Linux не имеет географического центра разработки. Нет и организации, которая владела бы этой системой; нет даже единого координационного центра. Программы для GNU/Linux — результат работы тысяч проектов. Некоторые из этих проектов централизованы, некоторые сосредоточены в фирмах, но большинство объединяют программистов со всего света, которые знакомы только по переписке. Создать свой проект или присоединиться к уже существующему может любой и, в случае успеха, результаты работы станут известны миллионам пользователей. Пользователи принимают участие в тестировании свободных программ, общаются с разработчиками напрямую, что позволяет быстро находить и исправлять ошибки и реализовывать новые возможности.

История развития UNIX-систем.

GNU/Linux является UNIX-совместимой, однако основывается на собственном исходном коде Именно такая гибкая и динамичная система разработки, невозможная для проектов с закрытым кодом, определяет исключительную экономическую эффективность GNU/Linux. Низкая стоимость свободных разработок, отлаженные механизмы тестирования и распространения, привлечение людей из разных стран, обладающих разным видением проблем, защита кода лицензией GPL — всё это стало причиной успеха свободных программ.

Конечно, такая высокая эффективность разработки не могла не заинтересовать крупные фирмы, которые стали открывать свои проекты. Так появились Mozilla (Netscape, AOL), OpenOffice.org (Sun), свободный клон Interbase (Borland) — Firebird, SAP DB (SAP). IBM способствовала переносу GNU/Linux на свои мейнфреймы.

С другой стороны, открытый код значительно снижает себестоимость разработки закрытых систем для GNU/Linux и позволяет снизить цену решения для пользователя. Вот почему GNU/Linux стала платформой, часто рекомендуемой для таких продуктов, как Oracle Database, DB2, Informix, SyBase, SAP R3, Domino.

Сообщество GNU/Linux поддерживает связь посредством групп пользователей Linux.

Основная статья: Список дистрибутивов GNU/Linux  

Развитие дистрибутивов GNU/Linux

Большинство пользователей для установки GNU/Linux используют дистрибутивы. Дистрибутив — это не просто набор программ, а ряд решений для разных задач пользователей, объединённых едиными системами установки, управления и обновления пакетов, настройки и поддержки. Самые распространённые в мире дистрибутивы:

  • американский Red Hat и его наследник Fedora;
  • немецкий SuSE, купленный американской фирмой Novell;
  • французско-бразильский Mandriva (бывшие Mandrake и Conectiva);
  • не имеющий национальной принадлежности международный дистрибутив Debian GNU/Linux;
  • один из самых старых дистрибутивов Slackware;
  • сравнительно молодой и активно развивающийся дистрибутив Gentoo;
  • очень молодой, но перспективный дистрибутив Ubuntu и вариант его конфигурации Kubuntu, использующий KDE вместо Gnome.

Помимо перечисленных, существует множество других дистрибутивов, как базирующихся на перечисленных, так и созданных с нуля и зачастую предназначенных для выполнения ограниченного количества задач. Каждый из них имеет свою концепцию, свой набор пакетов, свои достоинства и недостатки. Ни один не может удовлетворить всех пользователей, а потому рядом с лидерами благополучно существуют другие фирмы и объединения программистов, предлагающие свои решения, свои дистрибутивы, свои услуги. Существует множество LiveCD, построенных на основе GNU/Linux, например, Knoppix. LiveCD позволяет запускать GNU/Linux непосредственно с компакт-диска, без установки на жёсткий диск.

Для желающих досконально разобраться с GNU/Linux подойдёт любой из дистрибутивов, однако довольно часто для этой цели используются так называемые source-based дистрибутивы, то есть предполагающие самостоятельную сборку всех (или части) компонентов из исходных кодов, такие как LFS, Gentoo, ArchLinux или CRUX.

Основная идея лицензии GPL


— За ПО нельзя брать деньги. Оно должно распространяться бесплатно.

— Продавать нужно труд программиста. Источником дохода для компании должно стать сопровождение ПО, его настройка и обучение персонала.


В начало страницы

Copyright ОГКУиПТ© by Deadhummer